Home
ABOUT
API SEALS
Compressed Gasket
Compression Packings
Metallic Gasket
Mechanical Seal
Hydraulic/Pneumatic Seals
Maintenance Accessories
PRODUCTS
APC
API RED
DMSI
API PHE
CONTACT US
MEMBERS AREA
Login
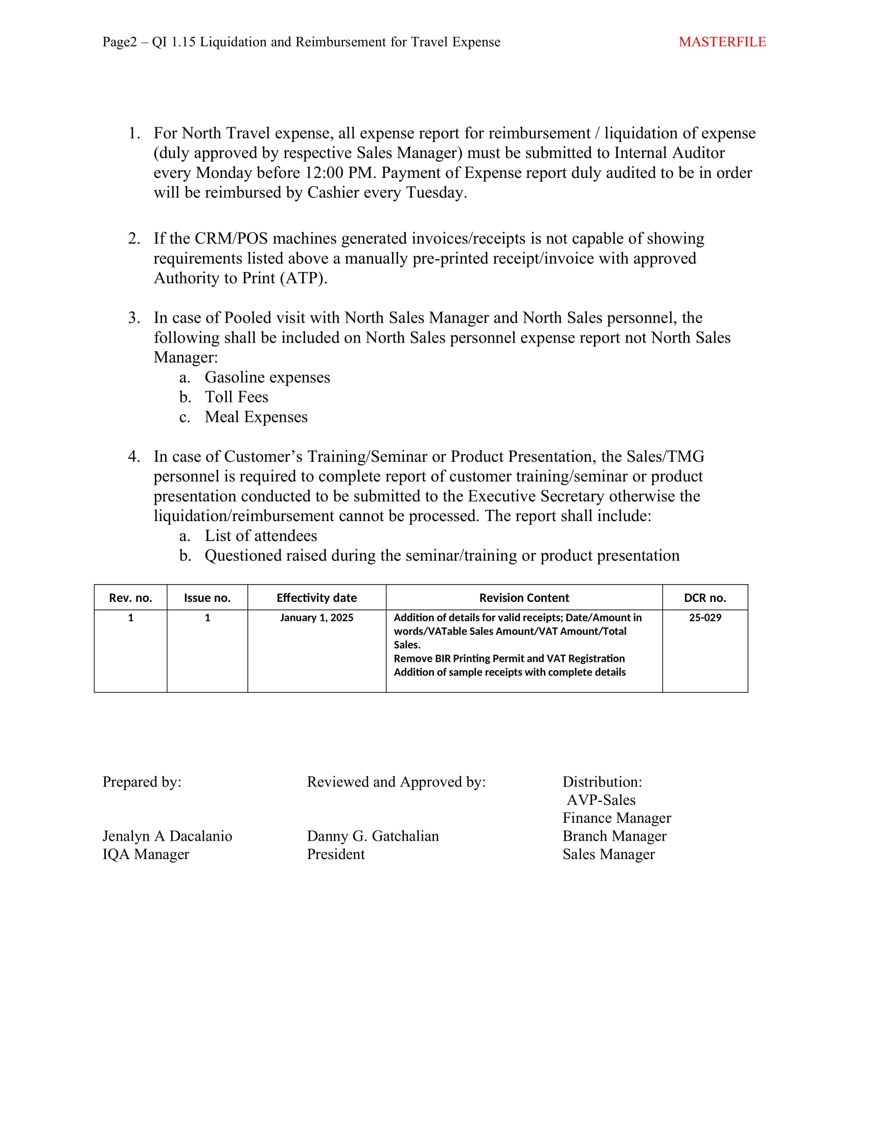
QI 1.15
LIQUIDATION AND REIMBURSEMENT FOR TRAVEL EXPENSE
© 2017
American Packing Industries (Phils) Corp